Microstrip Trace Impedance Calculator

  1. Fill in the relative permittivity of the dielectric and the height, width, and thickness of the trace.
  2. Select the Zo button to calculate the characteristic impedance of the trace.

You can also choose to fill in the desired characteristic impedance and leave the trace height or width blank. Selecting the button next to the blank field will calculate the missing parameter. Equations used to make these calculations are provided at the bottom of this page.

Units for T, the trace thickness:
mils  Oz

er
mils
mils
ohms
Calculation Results:
Zc ohms
Lo nH/in
Co pF/in
Tpd ns/in

ns/ft

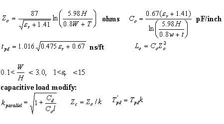
Zo Equation: IPC-D-317A (Eq. 5.32)
Co Equation: IPC-D-317A (Eq. 5.33)

microstrip

Are there distributed capacitive loads on this trace?
No  Yes

If there are distributed loads, please provide the average length of the traces attachingthe loads and the average load capacitance.
Trace Length  inches
Total Load pF


formula for microstrip structure